南京邮电大学2025年国家奖学金拟获奖研究生名单公示
根据《南京邮电大学研究生国家奖学金评审实施细则(修订)》,经个人申报、学院评审公示、学校审核,下列同学拟获得2025年研究生国家奖学金,现予公示。
如对公示对象有异议,请与党委研究生工作部联系。
公示时间:2025年10月16日至10月24日
联 系人:李老师、缪老师
办公地点:仙林校区行政南楼453室
联系电话:025-83535656
电子邮箱:yjszz@njupt.edu.cn
附件:2025年研究生国家奖学金拟推荐获奖学生名单
党委研究生工作部
2025年10月16日
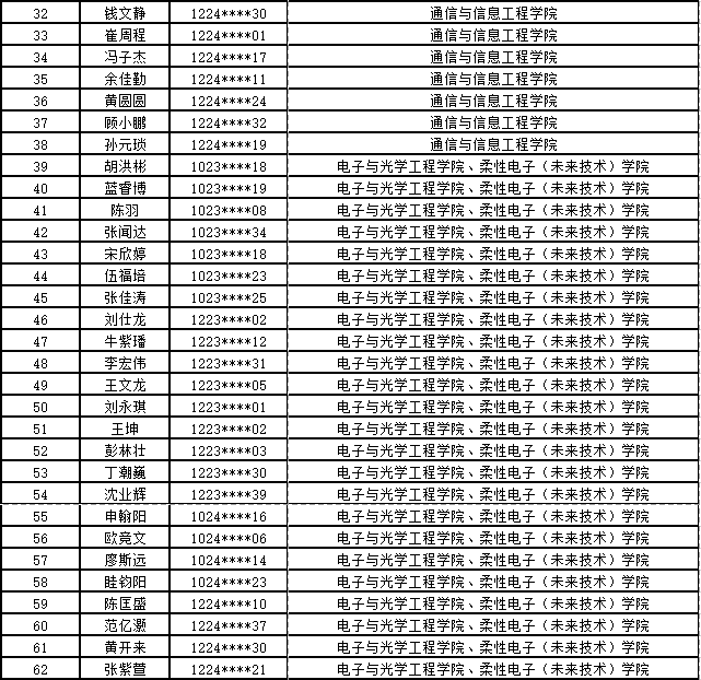
附件:2025年研究生国家奖学金拟推荐获奖学生名单
博士研究生
(31人)

硕士研究生
(190人)





